HVAC (Heating, Ventilation, and Air Conditioning) systems, Pitot tubes are widely used for measuring air velocity and airflow rate within ducts. Here’s a breakdown of their applications, principles, and practical uses:
1. Principle of Operation
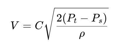
A Pitot tube measures air velocity by comparing:
Total (stagnation) pressure — the pressure of air when brought to rest.
Static pressure — the pressure of air in motion, unaffected by velocity.
The difference between these pressures is the velocity pressure (dynamic pressure), which is proportional to the square of air velocity:
Accuracy decreases at low air velocities (< 600 fpm).
Requires straight duct sections (usually 8–10 diameters upstream, 2–3 downstream) for reliable results.
Sensitive to alignment and dirty air (dust can clog sensing holes).
A Pitot tube is a simple yet powerful device used to measure fluid flow velocity — typically of air or water. It works on the principle of converting kinetic energy (velocity pressure) into potential energy (static pressure).
1. Aeronautics / Aviation
Airspeed measurement:
The primary application of the Pitot tube is in aircraft. It measures the aircraft’s airspeed by comparing stagnation pressure (measured by the Pitot tube) with static pressure (measured by static ports).
Altitude and Mach number calculations:
Combined with static pressure and temperature sensors, Pitot tubes help determine the Mach number and altitude.
2. Industrial Fluid Mechanics
Flow measurement in ducts and pipes:
Used to determine the velocity of air, gas, or liquid in pipelines or ventilation ducts.
→ Example: HVAC systems, wind tunnels, and industrial exhaust systems.
Calibration of flow meters:
Pitot tubes provide a reference for verifying the accuracy of other flow measurement devices.
3. Hydraulics and Water Flow Systems
Water velocity in open channels and pipes:
Used in irrigation, hydropower, and water treatment plants to measure fluid speed.
Environmental monitoring:
Measuring river or stream flow velocity for hydrological studies.
4. Power Plants
Boiler and combustion air flow:
Used in measuring air and flue gas velocities for optimizing combustion efficiency.
Turbine and exhaust flow monitoring:
In steam or gas turbines to ensure balanced and efficient operation.
5. Research and Testing
Wind tunnel experiments:
Used for testing aerodynamics of vehicles, aircraft, and building designs.
Laboratory flow measurements:
In educational and research setups to study fluid behavior.
6. Marine Applications
Ship speed through water:
Some vessels use Pitot tubes to measure speed relative to water, aiding navigation.
1. Principle of Operation
HVAC (Heating, Ventilation, and Air Conditioning) systems, Pitot tubes are widely used for measuring air velocity and airflow rate within ducts. Here’s a breakdown of their applications, principles, and practical uses:
1. Principle of Operation
A Pitot tube measures air velocity by comparing:
Total (stagnation) pressure — the pressure of air when brought to rest.
Static pressure — the pressure of air in motion, unaffected by velocity.
The difference between these pressures is the velocity pressure (dynamic pressure), which is proportional to the square of air velocity:
2. Applications in HVAC
a. Air Velocity Measurement
Used to measure airspeed in ducts or plenums.
Helps in balancing HVAC systems — ensuring each zone receives the correct airflow.
b. Airflow Rate Determination
By combining velocity readings with duct area:
Q=V×A
where
Q = volumetric airflow (m³/s), A = duct cross-sectional area (m²).
This is essential for verifying design flow rates and system performance.
c. Fan Performance Testing
Pitot tubes measure pressure differences across a fan to assess fan efficiency.
Used to verify fan curve data and system resistance.
d. Filter and Coil Performance
Measuring pressure drop across filters or coils helps determine when maintenance or replacement is needed.
e. Commissioning and Troubleshooting
Commonly used by HVAC technicians during system commissioning to balance airflows.
Identify blockages, leaks, or improper damper settings.
3. Instruments Used with Pitot Tubes
Pitot tubes are typically connected to:
Manometers (for static readings)
Differential pressure gauges
Digital micromanometers (give direct velocity or flow readings)
Airflow hoods (for larger area measurements)
4. Types of Pitot Tubes in HVAC
Standard Pitot tube – single-point measurement.
Averaging Pitot tube (e.g., Annubar) – multiple sensing ports for average duct velocity across the diameter, improving accuracy.
5. Limitations
Accuracy decreases at low air velocities (< 600 fpm). Requires straight duct sections (usually 8–10 diameters upstream, 2–3 downstream) for reliable results. Sensitive to alignment and dirty air (dust can clog sensing holes).
A Pitot tube is a simple yet powerful device used to measure fluid flow velocity — typically of air or water. It works on the principle of converting kinetic energy (velocity pressure) into potential energy (static pressure).
1. Aeronautics / Aviation
Airspeed measurement:
The primary application of the Pitot tube is in aircraft. It measures the aircraft’s airspeed by comparing stagnation pressure (measured by the Pitot tube) with static pressure (measured by static ports).
Altitude and Mach number calculations:
Combined with static pressure and temperature sensors, Pitot tubes help determine the Mach number and altitude.
2. Industrial Fluid Mechanics
Flow measurement in ducts and pipes:
Used to determine the velocity of air, gas, or liquid in pipelines or ventilation ducts.
→ Example: HVAC systems, wind tunnels, and industrial exhaust systems.
Calibration of flow meters:
Pitot tubes provide a reference for verifying the accuracy of other flow measurement devices.
3. Hydraulics and Water Flow Systems
Water velocity in open channels and pipes:
Used in irrigation, hydropower, and water treatment plants to measure fluid speed.
Environmental monitoring:
Measuring river or stream flow velocity for hydrological studies.
4. Power Plants
Boiler and combustion air flow:
Used in measuring air and flue gas velocities for optimizing combustion efficiency.
Turbine and exhaust flow monitoring:
In steam or gas turbines to ensure balanced and efficient operation.
5. Research and Testing
Wind tunnel experiments:
Used for testing aerodynamics of vehicles, aircraft, and building designs.
Laboratory flow measurements:
In educational and research setups to study fluid behavior.
6. Marine Applications
Ship speed through water:
Some vessels use Pitot tubes to measure speed relative to water, aiding navigation.